(K系列)刹车电机15W-250W

功率范围:6W~250W

电压范围:三相/单相/其他

速比范围:3~600

外壳材质:铝壳/铸铁


(K系列)刹车电机15W-250W
立即咨询

联系热线

190-5756-1776

产品介绍

性能特点

通过CCCCE ISO9001认证,工厂拥有全套检测设备和试验设备,高精度设备保证产品加工精度。减速机产品效率高达98%;承载能力大,全封闭不漏油、体积小质 量轻、无噪音寿命长!安装灵活。


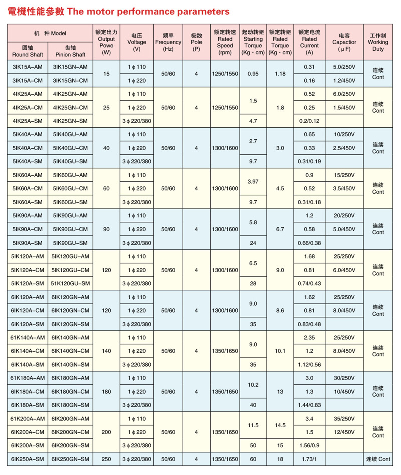
选型参数

3.1.jpg

产品图纸

(K系列)刹车电机15W-250W微型减速电机图纸

截屏,微信识别二维码

微信号:19057561776

(点击微信号复制,添加好友)